by lsand039 » Thu Mar 02, 2017 6:21 pm
Bene tests on my data:
(scores are copied directly from the terminal)
I don't understand why I get -nan when I specify BDe scoring or don't specify which scoring to use. I also don't know why I'm getting positive numbers for AIC and BIC scoring, so I wasn't able to find out the percentages of these scores.
AIC
No arcs
Score : 8.000
Score (according to GeNIe): -9255.057410
BDe
Fully connected structure
Score : -nan
Score (according to GeNIe): -8629.672524
BIC
No arcs
Score : 29.081
Score (according to GeNIe): -9255.057410
Not specified
fully connected structure
Score : -nan
Score (according to GeNIe): -8629.672524
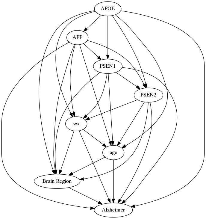
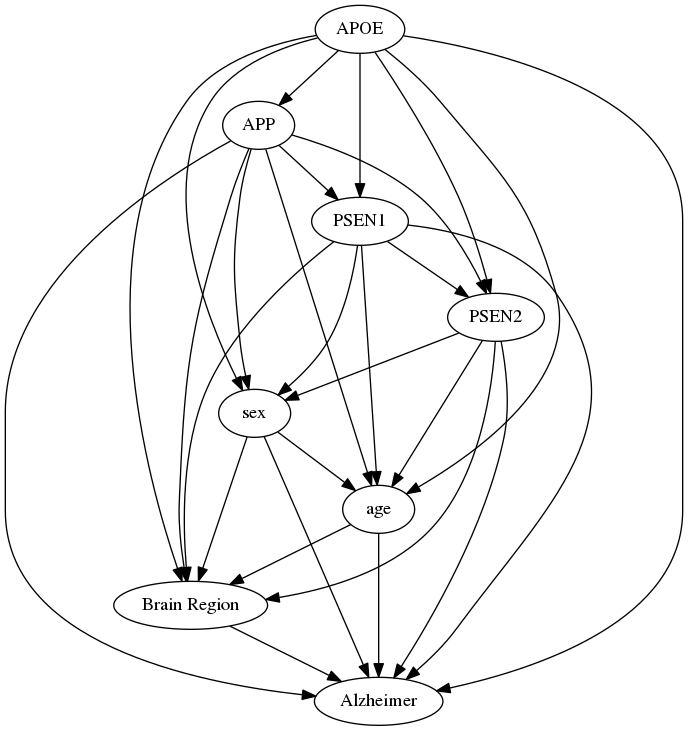
- Attachments
-

- Not specified
- IDH.png (121.33 KiB) Viewed 131660 times
-

- BIC result
- IDHbic.png (19.21 KiB) Viewed 131660 times
-

- BDe result
- IDHbde.png (121.33 KiB) Viewed 131660 times
-

- AIC result
- IDHaic.png (19.21 KiB) Viewed 131660 times
Last edited by
lsand039 on Tue Mar 07, 2017 11:24 am, edited 1 time in total.